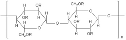
结构

羟丙基甲基纤维素

结构

高度纯棉纤维素材料在碱性条件下,经过醚化反应形成羟丙基甲基纤维素(HPMC)

工业技术

指标 工业等级
PME PMF PMK
外观 白色或类似白色粉末
甲基含量 28.0-30.0% 27.0-29.0% 19.0-24.0%
羟丙基含量 7.0-12.0% 4.0-7.5% 4.0-12.0%
凝胶温度 60-65 ℃ 60-65℃ 65-70 ℃
PH 5.0-7.5
PH 5.0-7.5
粘度 (1) 100-80000mPa·s
细度 40-120 mesh
干燥失重 ≤ 5.0%
灼烧残渣 ≤ 1.5%
砷盐 /
重金属 /
卫生检查 各种细菌 /
各种霉素 /
大肠杆菌 /
注意1:
粘度测试方法:Brookfield RV粘度计标准在2%浓度溶液,20摄氏度,20RPM,PH值7的条件下进行的。 我们可以提供各种类型的改性产品和根据客户需求定制研发产品。

溶解

没有表面处理的产品

为了避免结块,直接把产品放入90℃以上的热水中并不停搅拌至完全溶解,然后开始冷却溶液。 热水(>90℃)分散室温水中冷却溶解

  • Hot water(> 90 ℃)
  • scattered
  • to room temperature
  • The water cooling
  • solution

表面处理产品

表面处理产品是为了在湿混用途中避免结块而专门开发的,比如涂料及乳胶漆。 直接分散于冷水搅拌室温水中冷却

  • Directly dispersed in cold water
  • Mixing adjustment
  • to room temperature
  • The water cooling

应用

  • 建筑

    可以为机喷砂浆和手工砂浆,干墙填缝剂,瓷砖水泥和薄浆,挤出混凝土,水下混凝土等提供优秀的可施工性和保水性。

  • 粘合剂

    可以增加粘合剂和胶水的稠度,并在粘合剂分散体上形成一层薄膜。

  • 涂料

    起增稠的作用, 保护胶体,帮助颜料悬浮,提高水性涂料的粘度稳定性和溶解性。

  • 个人护理

    在洗液、洗发精、牙膏等产品中作为增稠剂、分散剂和乳化剂。

  • 制药

    在药膏中作乳化剂和分散剂,在医用石膏中起粘接作用,在片剂中起收缩和涂层作用。

  • 陶瓷

    在施工过程中起到增加保水性和润滑的作用。